您好,欢迎光临陕西成人高考网(www.sxckw.cn)!今天是
咨询电话:131-9488-3786RSS地图网站地图
陕西成人高考网
了解成考
技巧心得
成绩查询
准考证打印
分数线
学士学位
首页
  • 考试报名
  • 成考政策
  • 成绩查询
  • 领准考证
  • 成考简章
  • 志愿填报
  • 录取查询
  • 录取分数
招生
  • 成考院校
  • 成考专业
报考
  • 新生必读
  • 报考系统陕西成人高考报名系统
  • 考试教材
  • 考试大纲
  • 常见问题
  • 考试科目
备考
  • 历年真题
  • 模拟试题
  • 辅导讲义
  • 技巧心得
学历
  • 函授本科
  • 专本套读
  • 函授大专
  • 学位申请
您当前所在位置: 陕西成人高考网 > 文数> 2019年成人高考高起点数学(文)模拟试题及答案

2019年成人高考高起点数学(文)模拟试题及答案

编辑整理:陕西成人高考网  发布日期:2019-12-24 10:52:32  【大 中 小】   浏览热度()

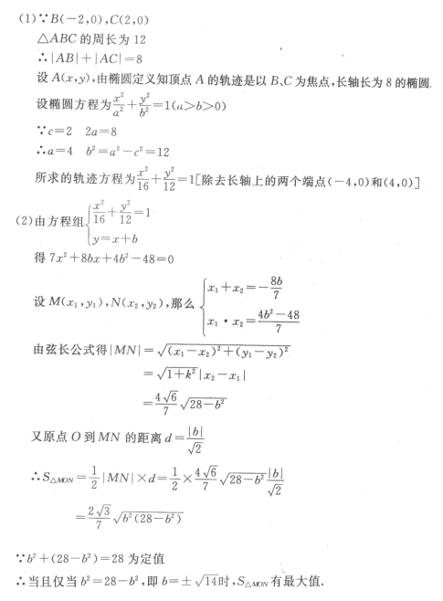
2019年成人高考高起点数学(文)模拟试题及答案

2019年成人高考高起点数学(文)模拟试题及答案

2019年成人高考高起点数学(文)模拟试题及答案

2019年成人高考高起点数学(文)模拟试题及答案

我已了解,立即报名
还不清楚,马上咨询

本文标签:陕西成人高考文数2019年成人高考高起点数学(文)模拟试题及答案

转载请注明:文章转载自(http://www.sxckw.cn)

本文地址:http://www.sxckw.cn/wenshu/12161.html

热点关注:

2019年成人高考高起点数学(文)模拟试题及答案01

2020年陕西成人高考高起点《文数》模拟试题及答案三

《陕西省成人高考网》免责声明:
(一)由于考试政策等各方面情况的不断调整与变化,本网站所提供的考试信息仅供参考,请以权威部门公布的正式信息为准。
(二)本网站在文章内容来源出处标注为其他平台的稿件均为转载稿,免费转载出于非商业性学习目的,版权归原作者所有。如您对内容、版权等问题存在异议请与本站联系,我们会及时进行处理解决,联系邮箱:812379481@qq.com。
标签:

猜您喜欢

  • 2025年陕西汉中成人高考如何提高学习效率?
  • 2025年陕西汉中成人高考英语有什么备考技巧?
  • 2025年陕西汉中成人高考通过率多少?通过率高吗?
  • 2025年陕西汉中成人高考选择专业需要注意什么?
  • 2025年陕西汉中成人高考政治答题技巧
  • 2025年陕西汉中成人高考英语答题技巧
  • 2025年陕西延安成人高考如何提高学习效率?
  • 2025年陕西延安成人高考英语有什么备考技巧?
便捷服务
年全国成人高考预计还有

天

【考试时间:10月19、20日】

陕西成考报名系统 陕西成考成绩查询
  • 咨询招生老师
热门专业推荐
  • 土木工程专业

    培养要求 本专业培养掌握土木工程学科的基本知识和专业技能,能...

  • 机电一体化技术专业

    培养目标 培养从事机电一体化设备的使用和技术管理工作的高级技...

  • 安全工程专业

    培养目标 安全工程专业培养能从事安全技术及工程、安全科学与研...

  • 美术学专业

    培养目标 美术学专业培养具有良好思想道德品质,进一步系统地掌...

  • 通信工程专业

    培养要求 该专业学生主要学习通信系统和通信网方面的基础理论、...

  • 工商管理专业

    培养目标 本专业培养具备经济管理、法律及企业管理方面的知识和...

考生常见问题
  • 西安石油大学毕业证丢失了怎么办?
  • 西安石油大学成人高等教育毕业条件是什么?
  • 西安石油大学成人高考​什么时间可以申请参加学位英语考试?
  • 西安石油大学成人高考毕业生档案丢失了能否补办?
  • 西安石油大学成人高考在学习期间能否转专业?
  • 西安石油大学入学后如何获得考试相关信息?
  • 陕西成人高考如何申请《教育部学历证书电子注册备案表》?
  • 西安石油大学成人高考报考专升本层次时,学校未查到个人毕业证书时,需要提供什么资料?
  • 西安石油大学2024年陕西成人高考学费要多少钱?
  • 西安石油大学2024年陕西成人高考可以报哪些专业?

陕西地区

  • 西安成考网
  • 铜川成考网
  • 宝鸡成考网
  • 咸阳成考网
  • 渭南成考网
  • 延安成考网
  • 汉中成考网
  • 榆林成考网
  • 安康成考网
  • 商洛成考网

陕西成人高考 |  陕西成考网 |  陕西省成考网 |  陕西成人高考网 |  陕西省成人高考网 |  陕西成人高考报名 |  陕西成考成绩查询 |  陕西成考录取查询 |  陕西专升本 |  陕西成人高考官网 |  陕西函授本科 |  陕西函授专升本 |  陕西函授大专

Copyright © 2021- 陕西省成人高考网(www.sxckw.cn),All Rights Reserved. 版权所有

声明:本站为陕西成考民间交流网站,最新成人高考动态请各位考生以省教育考试院、各市成考办最新通知为准。

网上报警 可信网站身份验证 工商网监