一、选择题:本大题共17个小题,每小题5分,共85分。在每小题给出的四个选项中,只有一项是符合题目要求的。
第1题

答案:C
第2题

答案:B
第3题 下列命题中,正确的是
A.空间中,垂直于同一条直线的两直线平行 B.空间中,垂直于同一平面的两直线平行
C.空间中,垂直于同一平面的两平面平行 D.空间中,与同一平面所成角相等的两直线平行
答案:B
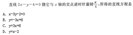
第4题

答案:C
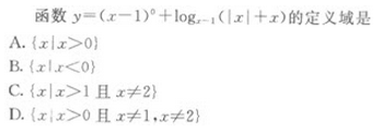
第5题

答案:B
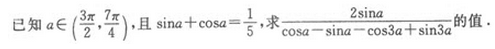
第6题

答案:C
第7题

答案:C
第8题

答案:D
第9题

答案:A
第10题

答案:B
第11题

答案:C
第12题 设定义域在R上的函数f(x)=x|x|,则f(x)是
A.奇函数,增函数 B.偶函数,增函数 C.奇函数,减函数 D.偶函数,减函数
答案:A
第13题

答案:D
第14题

答案:C
第15题 两条直线2x+y+1=0和2x+y+m=0的位置关系是
A.平行 B.相交 C.垂直 D.根据m的值确定
答案:D
第16题

答案:B
第17题

答案:A
二、填空题:本大题共4小题,每小题4分,共16分。把答案填写在题中的横线上。
第18题

答案:

第19题

答案:

第20题

答案:10
第21题

答案:64
三、解答题:本大题共4小题,共49分。解答应写出推理、演算步骤。
第22题

答案:

第23题 有四个数,其中前三个数成等差数列,后三个数成等比数列,并且第一个数与第四个 数的和是16,第二个数与第三个数的和是12,求这四个数.
答案:

第24题

答案:

第25题

答案:

本文标签:陕西成人高考文数2019年成人高考(高起点)文史财经类数学模拟试题7
转载请注明:文章转载自(http://www.sxckw.cn)