一、选择题:本大题共17个小题,每小题5分,共85分。在每小题给出的四个选项中,只有一项是符合题目要求的。
第1题

答案:B
第2题

答案:C
第3题

答案:C
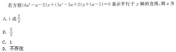
第4题

答案:A
第5题

答案:D
第6题

答案:D
第7题

答案:D
第8题

答案:A
第9题

答案:D
第10题

答案:A
第11题

答案:B
第12题

答案:A
第13题

答案:B
第14题

答案:B
第15题 从15名学生中选出两人担任正、副班长,不同的选举结果共有( )
A.30种 B.90种 C.210种 D.225种
答案:C
第16题

答案:A
第17题

答案:B
二、填空题:本大题共4小题,每小题4分,共16分。把答案填写在题中的横线上。
第18题

答案:x+y-1=0
第19题 直线y=kx+2与抛物线y2=8x只有一个公共点,则k的取值范围是__________。
答案:0和1
第20题

答案:685
第21题

答案:-(7/15)
三、解答题:本大题共4小题,共49分。解答应写出推理、演算步骤。
第22题 有一边长为8cm的正方形铁片,在各角剪去相同的小正方形,把四边折成一个无盖盒子,问剪去小正方形的边长为多少时才能使铁盒的容积最大.
答案:

第23题

答案:

第24题

答案:


第25题

答案:

本文标签:陕西成人高考文数2019年成人高考(高起点)文史财经类数学模拟试题3
转载请注明:文章转载自(http://www.sxckw.cn)