一、选择题:本大题共17个小题,每小题5分,共85分。在每小题给出的四个选项中,只有一项是符合题目要求的。
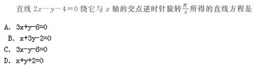
第1题

答案:C
第2题

答案:A
第3题

答案:C
第4题

答案:C
第5题 同时掷两枚硬币,两枚硬币朝上的币面图案一样的概率为()。
A.1/2 B.1/4 C.3/4 D.1
答案:A
第6题

答案:D
第7题

答案:B
第8题

答案:C
第9题

答案:B
第10题

答案:D
第11题

答案:C
第12题

答案:A
第13题

答案:D
第14题

答案:D
第15题

答案:B
第16题

答案:B
第17题

答案:C
二、填空题:本大题共4小题,每小题4分,共16分。把答案填写在题中的横线上。
第18题

答案:{1}
第19题

答案:0
第20题

答案:(0,2)
第21题 -8和-12的等比中项是__________。
答案:

三、解答题:本大题共4小题,共49分。解答应写出推理、演算步骤。
第22题

答案:

第23题

答案:

第24题

答案:

第25题

答案:

本文标签:陕西成人高考文数2019年成人高考(高起点)文史财经类数学模拟试题2
转载请注明:文章转载自(http://www.sxckw.cn)